電話:13570151199
傳真:020-39972520
郵箱:hanyan@hanyancarbon.com
地址:廣東省廣州市番禺區東環街番禺大道北555號天安總部中心30號樓6層
活性炭吸附處理高COD染色廢水
現代紡織印染行業常用的染料種類繁多。有不同類型的染料,例如酸性染料、活性染料和分散染料,分別用于動物、植物和人造纖維的染色。染料的化學性質差異很大,一些染料及其衍生物對環境危害很大。染色過程中廣泛采用的節水策略經常由于化學需氧量(COD)過載而導致工廠的生物廢水處理裝置失效。為了處理這個問題,研究了一種可再生的吸附-氧化工藝來處理COD,主要使用高度納米孔活性炭作為COD吸附劑。
本研究提出分兩步處理高COD染色廢水:一是用活性炭吸附染料,二是用高劑量過氧化氫處理吸附的染料。由于COD飽和活性炭的水較少,過氧化量可以顯著減少。此外,精確的過氧化物劑量可以去除活性炭表面吸附的COD,同時對活性炭結構的破壞最小,從而可以重復使用再生活性炭。為了測試所提出的可再生吸附-氧化處理的適用性,收集了高COD進水并用于檢查活性炭的性能,以及pH和溫度的操作吸附條件。
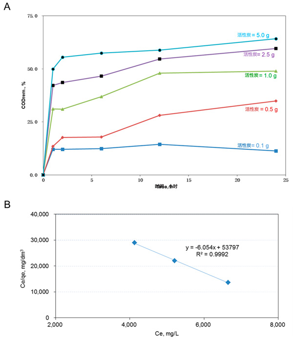
活性炭吸附COD染色廢水
對于活性炭吸附,使用0.1至5g活性炭從60mL染色廢水中去除的COD百分比如圖1A所示。活性炭量越大從廢水中去除的COD越多。使用5克活性炭,COD去除率達到60%以上,并且可能無法實現更高的去除率,因為活性炭不會吸附纖維碎片或染色化學品團塊等較大的顆粒。圖1B顯示了COD濃度(Ce)與吸附容量(qe)與Ce的關系圖。由于線性關系符合Langmuir等溫線,因此相應的大吸附容量(qmax),等于擬合線斜率值的1,等于0.165。0.9992的高R2值表明所采用的Langmuir模型具有良好的擬合度。這些結果表明,使用活性炭去除測試60mL廢水中50%COD是可行的。COD減少50%將使微生物消耗活性污泥池中可緩慢生物降解的分散染料的水力停留時間大約增加一倍。

圖1:使用過的活性炭的吸附特性。(A)去除的COD百分比與用于吸附染色廢水COD的活性炭量的關系圖。(B)Ce/qe比率與Ce的關系圖。
活性炭的再生吸附效果
第一次活性炭再生的結果表明,再生活性炭比原始活性炭吸附了更多的染料(高達7%)。經過連續吸附-氧化操作的結果表明,在四次吸附運行中去除了52%的COD,持續實現了超過50%的COD(圖2)。通過與再生和非再生運行(11個循環)之間的累積COD吸附進行比較,我們發現5g再生活性炭在再生情況下每個循環可以吸附0.3625g-COD。平均而言,活性炭在每個吸附步驟中的吸附容量(q)值等于0.0725g-COD/g-活性炭。根據之前的物質平衡結果,吸附的COD可能被氧化,因此孔空位可以在下一個循環中再次用于吸收COD。

圖2:COD去除百分比與活性炭再生次數的關系圖。
染色廢水處理建議
根據獲得的數據和當前的紗線染色工藝,使用所提出的兩步處理系統處理來自常用的200L染浴的高COD染色廢水看起來適用,并提出了建議如圖3所示。據我們所知,目前運營的染色設施中沒有這種建議的設置。設計容積(即200L)足以容納一批染缸出水,使高COD廢水可直接進入擬建裝置的吸附和再生。根據結果,去除50-60%的COD將大大減少回流到平衡罐的COD,從而避免現有廠內生物處理單元的過載情況。為了運行所提議的裝置,首先,將來自染色池的一定量的高COD廢水引導至充滿指定活性炭的反應單元(如果處理120L廢水,則為20kg)進行24小時吸附。由于結果表明染浴出水COD在酸性pH值下吸附更多,二是對處理后的廢水進行篩分,24小時后排至其廢水處理設施的頭部(即平衡池)。第三,分別串聯添加初始濃度為2.12mmol/dm3和2.5%的乙二胺四乙酸鐵鈉和過氧化氫,以啟動活性炭再生1小時。從連續運行來看,兩步法處理高COD染色廢水的應用前景看好。然而,我們確實注意到該技術的當前應用可能僅限于染浴設計及其操作。染浴的高COD流出物發生在染色過程的第一次排放,但對于大多數可用的染浴操作,根據不同的COD濃度對每批流出物進行分離是不適用的。一些染色裝置或染色工藝的改造被認為是必要的。

圖3:直接處理來自200L的高COD染色廢水的兩步處理裝置的建議布局。
活性炭吸附處理高COD染色廢水,研究中使用5g活性炭從60mL分散的富含染料的廢水中吸附50-60%的COD。所用活性炭的吸附容量約為0.165g-COD/g-活性炭。在使用活性炭進行COD吸附操作期間,無需調整pH或溫度。總體而言,使用活性炭吸附濃縮印染廢水的COD,其次是乙二胺四乙酸鐵鈉催化,飽和活性炭的過氧化物氧化處理可能是去除高COD染色廢水的有前景的替代方案,其氧化劑更少,COD處理效率更高。并且提出了一個按比例放大的200L吸附-再生裝置,并解決了其操作過程和潛在限制。
文章標簽:椰殼活性炭,果殼活性炭,煤質活性炭,木質活性炭,蜂窩活性炭,凈水活性炭.推薦資訊
- 2026-03-11活性炭在油氣回收中的作用
- 2026-03-06活性炭處理垃圾發電廠廢氣
- 2026-02-25活性炭吸附處理啤酒廠廢水
- 2026-02-13活性炭吸附處理含汞廢氣
- 2026-02-04活性炭用于從廢水中吸附去除微量鎘和鉛
- 2026-01-28活性炭潔牙粉專用
- 2026-01-20活性炭在廢氣處理中的一些常識
- 2026-01-13活性炭在精制糖生產中的脫色效果
- 2026-01-07活性炭對咪唑基離子液體的吸附性能
- 2025-12-24活性炭改性增強對乙酰氨基酚的吸附
- 2025-12-15活性炭吸附馬兜鈴酸
- 2025-11-27超細活性炭5000目粉末活性炭
