電話:13570151199
傳真:020-39972520
郵箱:hanyan@hanyancarbon.com
地址:廣東省廣州市番禺區東環街番禺大道北555號天安總部中心30號樓6層
活性炭改性纖維對淀粉酶的吸附
α-淀粉酶屬于廣泛用于食品、造紙、紡織、釀酒、發酵和釀造行業的酶組。由α-淀粉酶(1,4a-d葡聚糖葡聚糖水解酶)催化的淀粉水解為低分子量產品是最重要的商業酶促過程之一。許多研究人員研究了α-淀粉酶的固定化。例如,α-淀粉酶通過吸附固定在氧化鋯或氧化鋁上并表現出更高的活性,它被共價固定在含有鄰苯二甲酰氯的氨基官能化玻璃珠上,在蛋白質上的氨基和酰氯基團之間形成酰胺鍵在玻璃表面。α-淀粉酶也通過游離的-CHO(按照烷基胺和戊二醛程序)與酶的-NH2反應固定在改性有序介孔二氧化硅中,用于水解淀粉,提高了固定化酶的熱穩定性和pH穩定性。活性炭纖維雖然表現出發達的孔隙結構,但由于其表面化學性質一般為疏水性,氧氮含量極少,不能與酶發生強烈的相互作用,因此并未廣泛用作酶載體。因此有必要研究改性活性炭纖維作為酶載體材料的性能。
活性炭因其高表面積和大孔體積而被廣泛用作吸附劑、催化劑/催化劑載體、電子材料和儲能材料。活性炭纖維的優點是纖維直徑較小,可最大限度地減少擴散限制并允許快速吸附/解吸,孔徑分布更集中。新型活性炭已廣泛用于分離、純化和催化過程。活性炭纖維的化學氧化是將雜原子引入其表面的常用方法。各種試劑已被用作氧化劑:濃硝酸或硫酸、次氯酸鈉、高錳酸鹽、重鉻酸鹽、過氧化氫、過渡金屬、臭氧基氣體混合物等。在各種氧化處理中,硝酸的氧化是最廣泛使用的方法用于增加濕氧化處理產生的總酸度。活性炭纖維表面的含氧和含氮基團可以在300℃下通過硝化纖維素燃燒氧化引入,改性后的活性炭對氨和二硫化碳具有更高的吸附能力。
活性炭改性纖維
活性炭纖維的氧化改性。在120℃下干燥2h以去除吸附的蒸汽和有機分子,然后用硝酸纖維素丙酮溶液浸漬,負載量固定為1wt.%的硝酸纖維素在室溫下放置4小時。最后,將浸漬的活性炭纖維在空氣中加熱至300℃持續30分鐘,并標記為活性炭改性纖維。活性炭-0在5M硝酸中改性12小時,然后用蒸餾水浸出,直至達到約7的pH值。最后,在80℃下干燥并命名為活性炭-HNO3。
淀粉酶的吸附和淀粉的水解。在吸附實驗中,將1g活性炭纖維與等體積的0.1M磷酸鹽緩沖液和α-淀粉酶溶液混合。在室溫下振搖1小時,然后過濾。α-淀粉酶的吸附量為原酶液水解能力與濾液水解能力之差。
在間歇反應器中檢測游離酶和固定化酶的水解活性。通過將可溶性淀粉溶解在蒸餾水中制備%淀粉溶液,并通過0.1M/HCl將pH值調節至4.7。然后將1g含有α-淀粉酶的活性炭纖維置于測試小瓶中。隨后,加入100cm3的淀粉溶液,并將系統在40℃下不斷搖動的水浴中孵育。每10分鐘抽取1cm3溶液以確定水解麥芽糖的量。通過加入1cm3的3,5-二硝基水楊酸試劑終止反應。還在沸水浴中孵育5分鐘。還原糖(麥芽糖)的量通過分光光度法在540nm處測定。
活性炭樣品的SEM樣貌
活性炭纖維的SEM圖像如圖1所示。活性炭-0的表面看起來很光滑,表面的斑點是吸附的污垢。活性炭-HNO3表面的污垢最少,大部分污垢在硝酸浸漬過程中被浸出。這也說明硝酸氧化不會損傷纖維表面。活性炭表面的污染比活性炭-0少,在硝化纖維浸漬過程中,一些雜質被洗掉,這表明所有的硝化纖維素都已完全燃燒。通過比較SEM圖像,活性炭纖維表面在硝酸氧化和硝化纖維素燃燒后沒有被破壞。這證明了在活性炭纖維表面引入氮/氧原子是一種簡單的方法,并且不會對表面造成損傷。

圖1:活性炭的SEM照片(a)活性炭-0(b)活性炭改性纖維和(c)活性炭-HNO3。
淀粉酶的吸附和淀粉的水解
三種活性炭對α-淀粉酶的吸附量為2.0mg/g,分別為9.9毫克/克和7.9毫克/克。由于活性炭的孔結構相似,表面含氧和含氮基團是表征a-淀粉酶吸附的唯一顯著影響因素,尤其是酚羥基,它可以與a-淀粉酶的-NH2形成氫鍵分子。與游離α-淀粉酶相比,固定在活性炭-0、活性炭纖維和活性炭-HNO3上的α-淀粉酶的水解活性分別降低了20%、48%和34%。這表明α-淀粉酶的活性位點受活性炭纖維孔結構的影響,從而改變了α-淀粉酶與淀粉分子之間的相互作用。此外,固定化的α-淀粉酶分子固定在孔通道和傳質也受到限制,因此表觀水解活性降低。

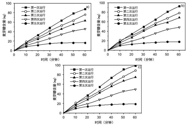
圖2:吸附在活性炭改性纖維上的α-淀粉酶水解淀粉:(a)1wt.%,(b)2wt.%和(c)5wt.%。

圖3:吸附在活性炭-HNO3上的α-淀粉酶水解淀粉:(a)1wt.%,(b)2wt.%和(c)5wt.%。
固定化α-淀粉酶水解淀粉在相同活性炭上的α-淀粉酶水解的麥芽糖的量與淀粉濃度無關。麥芽糖也被α-淀粉酶水解:結果表明,如果固定發生在相同的活性炭上,則水解麥芽糖和水解淀粉的量保持不變。這表明淀粉濃度是足夠的。固定在ACF上的淀粉酶的量越大,水解麥芽糖的量就越高。對于活性炭-0,第一次運行60分鐘后水解麥芽糖的量為20mg。第二輪下降到12毫克,第三輪下降到8毫克。對于活性炭改性纖維,第一次運行60分鐘后水解麥芽糖的量為100mg。吸附的淀粉酶在運行3次后仍保持較高的水解活性。第四次運行后其活性下降,麥芽糖量為50毫克。對于活性炭,第一次運行60分鐘后水解麥芽糖的量為50mg。吸附的淀粉酶在兩次運行后保持較高的水解活性。3次運行后其活性降低,麥芽糖量為20mg。固定化酶最重要的優點是它的可重復使用性。活性炭纖維的表面基團也影響α-淀粉酶的解吸行為。固定在活性炭-0上的α-淀粉酶在水解過程中大部分會被解吸,2次運行后固定在活性炭-0上的α-淀粉酶的保留活性為10%。然而,固定在改性活性炭和活性炭-HNO3上的α-淀粉酶在4次運行后表現出超過24%和14%的活性。
活性炭可以被硝酸氧化和硝化纖維素燃燒以改變其表面化學性質。活性炭纖維氧化后碳含量顯著降低,氧含量顯著升高。氫、氮含量也有一定程度的增加。Boehm滴定和FTIR結果表明,HNO3氧化引入了大量的羧基。而硝酸纖維素氧化可形成酚基和堿性基團(酰胺)。吸附分別增加了5倍和3.5倍。固定化淀粉酶在3次運行后顯示出更高的淀粉水解活性。
文章標簽:椰殼活性炭,果殼活性炭,煤質活性炭,木質活性炭,蜂窩活性炭,凈水活性炭.推薦資訊
- 2026-03-11活性炭在油氣回收中的作用
- 2026-03-06活性炭處理垃圾發電廠廢氣
- 2026-02-25活性炭吸附處理啤酒廠廢水
- 2026-02-13活性炭吸附處理含汞廢氣
- 2026-02-04活性炭用于從廢水中吸附去除微量鎘和鉛
- 2026-01-28活性炭潔牙粉專用
- 2026-01-20活性炭在廢氣處理中的一些常識
- 2026-01-13活性炭在精制糖生產中的脫色效果
- 2026-01-07活性炭對咪唑基離子液體的吸附性能
- 2025-12-24活性炭改性增強對乙酰氨基酚的吸附
- 2025-12-15活性炭吸附馬兜鈴酸
- 2025-11-27超細活性炭5000目粉末活性炭
