電話:13570151199
傳真:020-39972520
郵箱:hanyan@hanyancarbon.com
地址:廣東省廣州市番禺區東環街番禺大道北555號天安總部中心30號樓6層
活性炭脫附分離機化合物的機理
VOCs產生廣泛,主要來自汽車尾氣排放、工業排放、煤炭和生物燃料燃燒、柴油汽油或天然氣泄漏和揮發。VOCs是近地表O3的主要反應物之一。一些VOCs具有活潑的化學性質,進入大氣后可能導致產生光化學煙霧和二次污染物,對空氣質量和人類生產活動造成嚴重危害。本期研究了閉式循環變溫脫附過程中活性炭吸附床分離揮發性有機化合物(VOCs)的機理。以不同濃度的甲苯氣體作為閉式循環變溫脫附氣體,再生甲苯飽和的活性炭床層。
吸附實驗裝置和方法
動態吸附技術用于測量甲苯吸附平衡等溫線。圖1描述了實驗裝置。通過該裝置獲得吸附飽和的活性炭。在不同的溫度和濃度下,測量了甲苯的飽和吸附容量。入口溫度和甲苯濃度設定為25–180℃和5–50g/m3。活性炭吸附的甲苯氣體濃度為15g/m3。使用重量分析技術測量吸附等溫線。實驗裝置以實驗室環境空氣為氣源,通過鼓風機將空氣送入裝置。在硅膠干燥裝置中除去水蒸氣后,通過數顯質量流量計的控制,按計算出的比例分成兩路。單向氣流以設定濃度進入氣體發生裝置,即甲苯揮發后的載氣,在氣體緩沖室中與反向流動的稀釋氣體充分混合后進入吸附系統。在吸附系統中,吸附柱緊密均勻地填充CTC100活性炭顆粒,并用鐵架垂直放置在設定實驗溫度的恒溫干燥箱中。混合甲苯氣體首先在恒溫干燥箱內通過氣體預熱管道達到實驗溫度,然后進入裝有活性炭的吸附柱進行吸附實驗。吸附氣體通過檢測口進入檢測系統,智能FID通過連續采樣測量甲苯出口濃度。當氣體發生裝置產生的入口濃度與智能FID檢測的出口濃度一致時,吸附柱中的活性炭達到吸附平衡。吸附氣體通過檢測口進入檢測系統,智能FID通過連續采樣測量甲苯出口濃度。當氣體發生裝置產生的入口濃度與智能FID檢測的出口濃度一致時,吸附柱中的活性炭達到吸附平衡。吸附氣體通過檢測口進入檢測系統,智能FID通過連續采樣測量甲苯出口濃度。當氣體發生裝置產生的入口濃度與智能FID檢測的出口濃度一致時,吸附柱中的活性炭達到吸附平衡。

圖1:動態吸附實驗裝置。
然后,我們使用脫附實驗裝置進行實驗,觀察污染物從活性炭層分離的情況。圖2描述了實驗裝置。在0.2m/s橫截面風速和150℃解吸溫度條件下,飽和活性炭被濃度為2、5和10g/m3的甲苯氣體解吸。活性炭層高300毫米。圖1實驗裝置同加載方式用于產生一定濃度的甲苯氣體,通入恒溫干燥箱中的脫附單元。三根石英玻璃柱,每根長10厘米,內徑4厘米,組成解吸單元。石英玻璃解吸柱底部填充5mm厚的石英砂層以支撐活性炭并保證氣流均勻。飽和活性炭在不同工況下脫附兩個小時,每個檢測口用連續監測。實驗結束后,我們用天平稱量脫附后的活性炭。

圖2:解吸實驗裝置。
閉式循環變溫脫附脫附濃度和脫附量分析
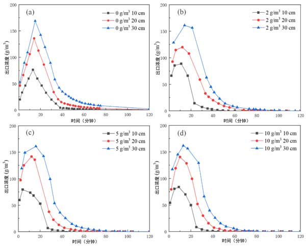
為了探究不同甲苯氣體入口濃度對閉式循環變溫吸附中活性炭解吸傳質過程的影響,我們設計了四種不同的工況。入口濃度為0、2、5和10g/m3。我們使用FID監測每個床出口處的甲苯氣體濃度。解吸單元由三層解吸柱組成。圖3顯示了具有不同背景濃度(去除背景濃度)的每個床出口處的出口濃度曲線。

圖3:具有不同背景濃度的每個床出口的甲苯氣體出口濃度曲線。(a)0g/m3,(b)2g/m3,(c)5g/m3,(d)10g/m3。
在所有背景濃度的脫附濃度曲線中,各床層出口段甲苯濃度迅速上升到一個峰值,然后迅速下降,最后穩定在背景濃度。10cm處測得的甲苯出口濃度達到峰值時間最短,峰值濃度最低。整個實驗過程中10cm處的出口濃度最低,完成脫附達到平衡的時間最短。30cm處達到峰濃度的時間最長,峰濃度最高。在整個實驗過程中,30cm處的出口濃度始終是最高的,完成解吸的時間也是最長的。這是因為在活性炭解吸過程中,后端活性炭床連續吸附前端脫附的高濃度甲苯。前端活性炭床脫附濃度迅速下降后,后端活性炭床不再受前端脫附影響,完全開始脫附。
我們在圖3中比較了不同背景濃度下的出口濃度曲線。在不同的背景濃度下,達到峰值的時間沒有明顯變化,峰值沒有明顯增加或減少。隨著背景濃度的不斷增加,從完全脫附到平衡穩定的時間縮短。這是因為引入特定濃度的甲苯進行解吸增加了解吸平衡的出口濃度。通過對圖3中脫附濃度曲線進行積分,得到不同背景濃度下各床層單元活性炭出口甲苯脫附量。各床層單位活性炭甲苯脫附量從零開始,短時間內迅速上升,然后趨于平穩穩定。單位活性炭在10cm處的甲苯脫附量最高,達到拐點穩定的時間最快。單位活性炭在30cm處的甲苯脫附量最低,達到拐點穩定的時間最慢。最后,每層單位活性炭的甲苯脫附量相等。
閉式循環變溫脫附動態模擬分析
為了研究不同背景濃度的閉式循環變溫脫附對活性炭層中吸附質遷移的影響,通過研究脫附速率,研究了脫附過程中甲苯在活性炭床層之間的脫附動力學。當飽和活性炭被清潔氣體解吸時,解吸速率常數較低。Bangham常數隨著背景濃度的增加而增加。三種動力學模型的解吸速率常數隨著活性炭床長的增加而降低。這類似于平均脫附率和瞬時脫附率的分析。表明在閉環吸附條件下,當吹掃一定濃度的甲苯時,活性炭的濃差極化層被破壞。外擴散傳質效果增強的同時,內傳質阻力降低。
活性炭脫附分離機化合物的機理,選擇甲苯作為本次研究的VOC代表目標污染物。以脫附量、平均脫附率和瞬時脫附率作為評價因素,模擬了活性炭層長、脫附氣體本底濃度等工藝條件。從實驗結果得出結論,活性炭脫附時,后端活性炭床不斷吸收前端脫附的高濃度甲苯。前端活性炭床脫附濃度迅速下降后,后端活性炭床不再受前端脫附影響,開始完全脫附。當本底濃度為0g/m3時,活性炭在20和30cm處120min的甲苯脫附量最大,均為0.403g/g。不同背景濃度下的平均解吸速率均呈現先上升后下降的趨勢,在相同的解吸溫度和截面風速下,背景濃度越高,解吸量越大在每個床出口和到達的時間越快。本研究將為更廣泛、更精確、更高效地應用活性炭閉式循環變溫脫附VOCs提供理論框架。
文章標簽:椰殼活性炭,果殼活性炭,煤質活性炭,木質活性炭,蜂窩活性炭,凈水活性炭.推薦資訊
- 2026-03-11活性炭在油氣回收中的作用
- 2026-03-06活性炭處理垃圾發電廠廢氣
- 2026-02-25活性炭吸附處理啤酒廠廢水
- 2026-02-13活性炭吸附處理含汞廢氣
- 2026-02-04活性炭用于從廢水中吸附去除微量鎘和鉛
- 2026-01-28活性炭潔牙粉專用
- 2026-01-20活性炭在廢氣處理中的一些常識
- 2026-01-13活性炭在精制糖生產中的脫色效果
- 2026-01-07活性炭對咪唑基離子液體的吸附性能
- 2025-12-24活性炭改性增強對乙酰氨基酚的吸附
- 2025-12-15活性炭吸附馬兜鈴酸
- 2025-11-27超細活性炭5000目粉末活性炭
