電話:13570151199
傳真:020-39972520
郵箱:hanyan@hanyancarbon.com
地址:廣東省廣州市番禺區東環街番禺大道北555號天安總部中心30號樓6層
活性炭載磺化鈷酞菁的制備,我們為什么要制備一個這樣的催化劑呢,因為活性炭載磺化鈷酞菁催化劑主要用于二甲基二硫醚(DMDS)的合成。DMDS是一種重要的精細化學品,廣泛用作土壤熏蒸劑,除草劑,食品添加劑等,具有廣闊的市場前景。
為什么選擇活性炭材料
DMDS的制備方法對于所有化學公司都是至關重要的,這通常被歸類為四種制造工藝:(1)硫酸二甲酯工藝。(2)將甲醇硫化處理9。(3)甲硫醇的硫化過程。(4)甲硫醇氧化過程。與其他工藝相比,工藝四具有許多優點,如DMDS產品的高產率和純度,不使用劇毒原料等。但傳統的甲硫醇氧化工藝是氣-氣反應,因此具有較高的優勢。由于過程中產生的廢氣,爆炸的風險和污染環境。此外,該方法對反應器質量,氣密性和耐壓性有很高的要求。在合成反應中常用的催化劑是金屬酞菁及其衍生物,如磺化鈷酞菁(CoPcS),四氨基酞菁鈷(CoTAPc)等,然而,游離的CoPcS催化劑是水溶性的,因此,它很容易進入DMDS產物,在催化劑和產物之間產生分離問題。這導致DMDS產品的后處理成本高,并且催化劑將不能再使用。為了解決這些問題,研發人員用到了活性炭。
活性炭本身的孔隙結構發達,擁有大的比表面積和高吸收率與穩定性。然而,活性炭按平常的方法浸漬磺化酞菁鈷催化劑會存在負載型催化劑的活性成分損失的問題,導致再利用性能不令人滿意。因此,應通過化學接枝方法在活性炭上載入CoPcS。
活性炭載磺化鈷酞菁的制備
首先準備材料SMM溶液,磺化鈷酞菁,通過浸漬法制備的活性炭載磺化鈷酞菁。壓縮氧和活性炭。氯化亞砜,乙二胺,N,N-二甲基甲酰胺,無水乙醇和硝酸無需進一步純化即具有分析純度,三氯甲烷3,氦等化學原料。
合成程序由以下三個步驟講述該方法已經申請了專利
步驟一:乙二胺合成改性活性炭,用去離子水洗滌活性炭并干燥,得到10.0g活性炭,將其加入250mL含有150mL硝酸溶液的燒杯中。將反應混合物在60℃下攪拌24小時。然后用去離子水洗滌產物以中和并在105℃的真空烘箱中干燥以獲得經硝酸處理的活性炭。然后將2.0g處理后的活性炭和5mL SOCl 2加入燒瓶中。將反應混合物在80℃下加熱12小時。反應后,將混合物加熱至130℃以蒸發殘留的SOCl 2并冷卻至室溫(25℃)。將產物加入100mL DMF中,溶解5mL EDA并在50℃反應8小時。冷卻至室溫后,分別用去離子水,DMF和無水乙醇洗滌產物數次,然后在105℃的真空烘箱中干燥,得到改性活性炭。合成過程在圖1中說明。

圖1.乙二胺制備改性活性炭的示意圖。
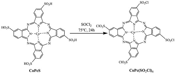
步驟二:氯化亞砜合成改性CoPcS,由于CoPcS是一種非常常見的化學產品,可以輕松購買,因此我們不會合成它,而是直接購買。將CoPcS(0.10g)與100mL DMF在燒瓶中溶解,并向燒瓶中加入5ml SOCl 2。然后將混合物在75℃下加熱24小時。反應后,將產物冷卻至50℃,通過真空蒸餾除去殘留的未反應的SOCl 2,得到CoPc(SO 2 Cl)4溶液。合成路線在圖2中說明。

圖2.通過亞砜氯化物制備改性磺化鈷酞菁的示意圖。
步驟三:活性炭載磺化鈷酞菁的合成,將2.00g預先方案一制備的活性炭加入到方案二制備的磺化鈷酞菁溶液中,在45℃下反應12小時,然后在反應后冷卻至室溫。將產物用去離子水洗滌數次以除去未反應的組分,并在60℃的真空烘箱中干燥,得到活性炭載磺化鈷酞菁的最終產物。合成路線顯示在圖3中。

圖3.顯示活性炭負載的磺化鈷酞菁的制備的示意圖。
采用化學接枝法成功合成了一種新型活性炭載型磺化鈷酞菁催化劑,用于制備精制的DMDS。新的活性炭催化劑不會進入DMDS產品,還可以輕松分離至少重復使用四次。
文章標簽:椰殼活性炭,果殼活性炭,煤質活性炭,木質活性炭,蜂窩活性炭,凈水活性炭.推薦資訊
- 2026-03-11活性炭在油氣回收中的作用
- 2026-03-06活性炭處理垃圾發電廠廢氣
- 2026-02-25活性炭吸附處理啤酒廠廢水
- 2026-02-13活性炭吸附處理含汞廢氣
- 2026-02-04活性炭用于從廢水中吸附去除微量鎘和鉛
- 2026-01-28活性炭潔牙粉專用
- 2026-01-20活性炭在廢氣處理中的一些常識
- 2026-01-13活性炭在精制糖生產中的脫色效果
- 2026-01-07活性炭對咪唑基離子液體的吸附性能
- 2025-12-24活性炭改性增強對乙酰氨基酚的吸附
- 2025-12-15活性炭吸附馬兜鈴酸
- 2025-11-27超細活性炭5000目粉末活性炭
