電話:13570151199
傳真:020-39972520
郵箱:hanyan@hanyancarbon.com
地址:廣東省廣州市番禺區東環街番禺大道北555號天安總部中心30號樓6層
從紡織,皮革,造紙和塑料工業排放到環境中的染料流出物給許多環境和生活帶來了嚴重的問題。從環境中去除有毒染料是一項重要挑戰。理想情況下,清除過程必須簡單,有效且便宜。已經提出了幾種從廢水中除去染料的方法。這些方法包括生物和物理化學過程然而,吸附過程已被證明是一種有效和可靠的染料去除方法。用于控制水污染的吸附處理的主要優點是在初始開發成本,簡單設計,易操作,不產生有毒物質以及吸附劑和吸附材料的簡單和安全回收方面投入較少。活性炭廣泛用作廢水處理中的吸附劑,能夠吸附流出物中的陽離子和陰離子污染物。本篇介紹了活性炭作為吸附劑從水溶液中去除剛果紅染料的潛在用途。
由農業廢棄物中的木質素制備的含氧基團的活性炭在染料離子吸附中起到重要作用,所以我們研究了不同參數中活性炭對剛果紅的吸附效果。
兩種實驗材料的準備
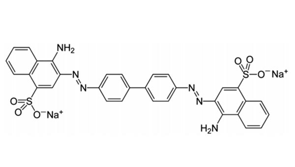
剛果紅(一種重氮染料)被用作模擬工業廢水的替代指標,以評估活性炭在目前工作中的吸附能力。CR的分子結構如圖1所示,剛果紅含有-NH2和-SO3官能團。在無機酸存在下,CR的顏色從紅色變為藍色。顏色的變化是由于帶電規范結構之間的共振。紅色在5-10的pH范圍內穩定。通過用蒸餾水溶解CR制備儲備溶液(500mg/L)。通過用蒸餾水稀釋儲備溶液至所需濃度獲得工作溶液。

活性炭的制備將50克木質素和50克CH3 CO2 K混合,得到1:1(重量)的比例。加入足以潤濕該混合物(200mL)的蒸餾水,充分混合,并在室溫下靜置24小時。然后,將其在105℃下干燥24小時,并在馬弗爐中在450℃碳化1小時。用蒸餾水洗滌碳化樣品,得到6.8-7的pH值。將其在100℃下烘箱干燥,最后將制成的活性炭包裝在密閉容器中以備進一步使用,圖2根據SEM顯微照片顯示木質素和活性炭的形態。

實驗方法
使用活性炭吸附劑進行CR的吸附研究。使用一組燒瓶進行批量實驗,所述燒瓶含有已知量的吸附劑(50mg)和預定體積(每個燒瓶中25mL)的染料溶液,固定的初始濃度(50mg/L)用恒定的溶液pH。然后將燒瓶置于振蕩器中,轉速為220轉/分鐘,溫度為25℃。以特定的時間間隔檢查樣品,并在平衡下過濾溶液以確定平衡濃度。通過改變初始CR濃度(從20至120mg/L),在25℃下pH=3并且吸附劑的量等于50mg來進行動力學研究。接觸時間在0到420分鐘之間變化。在預定的接觸時間后,從振蕩器中取出樣品并過濾,并使用分光光度計在497nm下測定殘留的CR濃度。
活性炭的吸附機制
吸附劑表面特征在吸附過程中起著重要作用。活性炭在其表面上含有具有酸性和/或堿性特征的官能團。雖然染料溶液的pH值,溫度和濃度會影響整體吸附行為和機理,但這些基團會對染料的吸附過程產生影響。然而,隨著pH的增加,活性炭的表面電荷密度會降低。活性炭表面上存在的羥基可以獲得或失去質子,導致表面電荷的變化隨著pH值的變化而波動。水溶液中CR的顏色在pH約為7時為固體紅色,CR的顏色在酸性pH下變為深藍色,在堿性pH(10-12)時變為紅色,但該紅色與原始紅色略有不同。中性pH值。CR在堿性pH(磺酸鹽基團)下以陰離子形式存在,在酸性pH下以陽離子形式存在。在酸性溶液中,CR離解成極性基團(R-SO 3-)。酸性介質有利于CR吸附在活性炭上,因為活性炭表面似乎在其表面呈陽性,這引起其表面與R-SO 3-之間的靜電相互作用。圖3表明所提出的CR吸附在活性炭上的機理。

解吸和再利用
解吸研究通常用于闡明吸附機理和回收耗盡的吸附劑。進行解吸實驗以找到合適的pH解吸條件。吸附滿載的活性炭隨著解吸劑pH的增加,吸附著剛果紅的活性炭在第一次解吸循環中的CR解吸效率。用中性蒸餾水解吸的活性炭只獲得了低解吸效率9.06%。但在堿性pH下獲得解吸效率提升。當pH從3.2變為12時,解吸從0.66緩慢增加到42.4%。為了比較解吸研究中不同溶液的效率,將溶質濃度設定為0.01M(去離子水除外)。如果附著的染料分子被去離子水解吸,則解吸很弱。否則,如果它被堿性溶液解吸,吸附主要是靜電相互作用和吸附過程中的氫鍵。根據圖4氫氧化物溶液是比較好的(解吸率為95.22%),鹽酸溶液,氯化鈉溶液和去離子水在本研究中解吸CR分子效率低。

該研究給出了活性炭對剛果紅吸附和解吸的方法過程。通過乙酸鉀的化學活化在碳表面上引入含氧官能團,并且官能團在染料吸附中起重要作用。批量實驗研究表明,吸附過程足夠快,因為在接觸時間的180分鐘內吸附飽和,并且在酸性溶液中染料的去除效率得到改善,染料的吸附隨著初始染料濃度的增加而增加。經過這一系列的研究發現活性炭的吸附主要歸因于碳鍵合和染料種類與碳表面上的含氧官能團之間的靜電相互作用。
文章標簽:椰殼活性炭,果殼活性炭,煤質活性炭,木質活性炭,蜂窩活性炭,凈水活性炭.推薦資訊
- 2026-03-11活性炭在油氣回收中的作用
- 2026-03-06活性炭處理垃圾發電廠廢氣
- 2026-02-25活性炭吸附處理啤酒廠廢水
- 2026-02-13活性炭吸附處理含汞廢氣
- 2026-02-04活性炭用于從廢水中吸附去除微量鎘和鉛
- 2026-01-28活性炭潔牙粉專用
- 2026-01-20活性炭在廢氣處理中的一些常識
- 2026-01-13活性炭在精制糖生產中的脫色效果
- 2026-01-07活性炭對咪唑基離子液體的吸附性能
- 2025-12-24活性炭改性增強對乙酰氨基酚的吸附
- 2025-12-15活性炭吸附馬兜鈴酸
- 2025-11-27超細活性炭5000目粉末活性炭
