電話:13570151199
傳真:020-39972520
郵箱:hanyan@hanyancarbon.com
地址:廣東省廣州市番禺區東環街番禺大道北555號天安總部中心30號樓6層
活性炭吸附回收芳香化合物
香精油僅占植物成分的一小部分,但賦予了芳香族植物用于食品和香料行業的特性。香精油具有復雜的成分,包含數十至數百種成分,尤其是碳氫化合物(萜烯和倍半萜烯)和含氧化合物。他們負責獨特的氣味和味道。傳統上,蒸汽蒸餾已用于從植物原料中回收精油。通常使用色譜技術確定有機化合物,具體選擇取決于它們的極性,揮發性和它們在高溫下分解的風險。從液體中吸附有機溶質是粉末狀和顆粒狀活性炭的重要應用。影響吸附過程的活性炭的特征是孔的質地和表面接觸。
對于從液體中去除所有這些不可生物降解的有機物,吸附是比較希望的選擇。活性炭通常由碳含量高的材料獲得,獨特的多孔結構并具有很大的吸附能力。盡管呈顆粒狀或粉末狀的活性炭具有良好的吸附有機分子的能力,但是目前活性炭在精油提取行業中的應用似乎很少。香精油是高度濃縮的調味劑。它們主要通過物流或水蒸餾從芳香植物中提取。吸附劑對吸附質的吸附應從兩個方面進行描述:吸附能力和親和力。吸附能力受可用于吸附給定吸附質的吸附劑的潛在空間限制,而吸附親和力取決于吸附質和吸附劑之間的吸引力強度。本次我們使用專門研發的活性炭以吸附廢水蒸餾中的揮發性化合物。由丁香油組成的揮發性化合物被吸附,然后從活性炭中回收。主要研究目的是使用活性炭從丁香油廢水蒸餾中吸附和回收芳香化合物。
活性炭的表面分析
活性炭的表面分析通過SEM確定(圖1)。SEM分析表明,兩種活性炭和吸附后的活性炭之間的表面差異。果殼活性炭表明毛孔的活躍部分相對較大。在用酸活化過程之后,涂覆的活性炭的表面更具反應性,表明該表面具有更多的孔。吸附了有機化合物的活性炭顯示出更加封閉的表面,表明活化孔表面上已經吸附了有機化合物。

圖1:SEM分析:(a)一般活性炭,(b)活化活性炭,和(c)吸附后的活性炭。
吸附過程中活性炭重量的變化
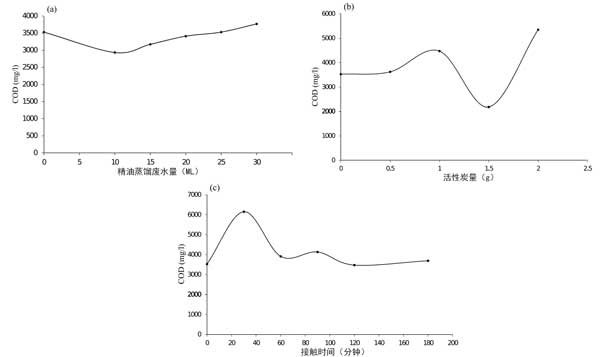
吸附過程通過柱色譜進行。活性炭重量的變化為0.5–2g。將總共10ml的溶液加入到活性炭的柱中。使溶液與活性炭接觸并從柱中收集。
接觸時間對活性炭吸附過程的影響
丁香油的吸附過程通過柱色譜法進行。將一定體積的10ml溶液引入含有重量為0.5g的活性炭的柱中。使溶液與活性炭劑接觸30–180分鐘,然后將溶液從活性炭中移出。在活性炭上吸附過程之后,測量溶液的化學需氧量(COD)水平。
活性炭體積對有機化合物吸附的影響
在柱色譜法上,活性炭吸收了廢水中的丁香油。廢水量從10–25ml不等。將樣品添加到含有0.5g活性炭的色譜柱中。使溶液接觸并從吸附劑中除去。通過COD含量分析測量從吸附過程獲得的溶液。

圖2:活性炭的參數對吸附COD含量的影響:(a)體積,(b)活性炭重量,(c)接觸時間。
當10毫升廢水量時活性炭吸附后降低的COD值在圖2顯示。在10ml廢液量下獲得良好吸附,其COD值為3000左右。丁香廢油的COD值表明了接觸時間對吸附過程的影響。在30分鐘的接觸時間內,COD值增加。接觸30分鐘后,COD水平在合適條件下120分鐘相對穩定。
活性炭吸附回收芳香化合物,丁香油的主要化合物是丁子香酚(80.26%),乙酸丁子香酚(8.64%)和石竹烯(5.16%)。丁香油在丁香酚,丁香酚乙酸酯和四硅氧烷只活性炭上吸附后的主要成分被觀察到,其組成分別為63.76%,4.67%和0.54%。吸附在活性炭上的主要組成按數據顯示,丁香酚在活性炭上的回收率為79.44%,丁香酚乙酸酯化合物為54.05%,精油的回收值為0.31%。還有什么不明白的請盡快聯系我們,我們有專業的研發技術可以幫您解決相關問題。
文章標簽:椰殼活性炭,果殼活性炭,煤質活性炭,木質活性炭,蜂窩活性炭,凈水活性炭.推薦資訊
- 2026-03-11活性炭在油氣回收中的作用
- 2026-03-06活性炭處理垃圾發電廠廢氣
- 2026-02-25活性炭吸附處理啤酒廠廢水
- 2026-02-13活性炭吸附處理含汞廢氣
- 2026-02-04活性炭用于從廢水中吸附去除微量鎘和鉛
- 2026-01-28活性炭潔牙粉專用
- 2026-01-20活性炭在廢氣處理中的一些常識
- 2026-01-13活性炭在精制糖生產中的脫色效果
- 2026-01-07活性炭對咪唑基離子液體的吸附性能
- 2025-12-24活性炭改性增強對乙酰氨基酚的吸附
- 2025-12-15活性炭吸附馬兜鈴酸
- 2025-11-27超細活性炭5000目粉末活性炭
