電話:13570151199
傳真:020-39972520
郵箱:hanyan@hanyancarbon.com
地址:廣東省廣州市番禺區東環街番禺大道北555號天安總部中心30號樓6層
活性炭增進水泥砂漿抗壓強度
混凝土一直是比較受歡迎的建筑材料之一,就在最近活性炭作為水泥基復合材料的增強劑突然被更多的人關注了。我們發現活性炭可以增強水泥的耐濕性和減輕潮氣侵襲的風險。還測試過活性炭對混凝土氣孔特性的影響,了解到活性炭可以減少了混凝土中的空氣含量,從而提高了強度;钚蕴恳部捎糜诟纳剖覂瓤諝赓|量。含有活性炭作為添加劑的硬化水泥漿也擁有了吸附能力,在揮發性有機化合物(VOC),和有害化合物(例如乙醛和甲苯)的環境中。活性炭粉末能夠吸收大部分的甲苯,因此,包含活性炭的硬化水泥漿可作為潛在的建筑材料,有助于提高除污效果。
活性炭水泥砂漿的組成
波特蘭水泥(硅酸鹽水泥I型和II型)作為基礎材料,活性炭采用植物種子轉化成。在物理活化過程中,碳化和活化步驟均通過加熱完成。制備方法是,先用蒸餾水洗滌和漂洗以除去雜質,在100℃下干燥24小時,然后過篩以控制粒度。然后將制備好的原材料在馬弗爐中加熱到600℃,持續一個小時。冷卻至室溫后,將地面洗凈,然后再次用去離子水沖洗。并在100℃下干燥48小時,然后使用16號和60號篩分(篩孔分別為1.18和250微米)進行分選。在加熱過程中,基礎材料的揮發性分子升華,從而在整個過程中留下多孔結構。制備的活性炭儲存在密閉瓶中。處理后獲得的原材料和活性炭顆粒如圖1所示;罨^程形成了蜂窩狀的孔結構,導致活性炭中的表面積較大,這可能引起了形態對稱現象。

圖1:(a)處理后獲得的原材料和(b)活性炭,以及(c)原材料和(d)活性炭在500x下的SEM圖像。
活性炭水泥抗壓強度測試
在7天,21天和28天測量立方體樣品的抗壓強度。每個代表性的抗壓強度是十二個樣品的平均值。強度的測量是使用混凝土壓縮機進行的。根據抗壓強度試驗結果,由于在7天時測得的強度大大降低,因此未測試21天時5%和10%活性炭的樣品。結果證明,普通水泥砂漿的抗壓強度隨養護時間的增加而增加。在活性炭復合材料樣品中也觀察到了相同的趨勢。沒有活性炭的水泥砂漿的7天強度達到28天強度的66%,而0.5%和1%活性炭復合材料的7天強度分別達到28天強度的80%和73%。這意味著低濃度的活性炭可能會加速強度硬化過程。等于或大于1.5%的過量濃度消除了早期強度效應。此外,活性炭的過量含量大于5%導致強度顯著降低。添加5%的活性炭會使普通水泥砂漿的7天抗壓強度降低28%,而28天抗壓強度降低21%。添加10%會使7天強度下降50%,而28天強度下降52%。這些結果表明,大于合適范圍的活性炭的摻入會損害普通水泥的強度。在該研究中,觀察到增加抗壓強度的合適含量范圍為0.5%至1.5%。
樣品的抗壓強度
可視化了水泥砂漿的碳含量顯示在圖2,強度和重量之間的關系。左圖表示強度相對于碳含量的變化,右圖表示強度與試樣重量的關系。此外,底部的圖表顯示了碳含量與重量的關系。值得注意的是,添加碳會稍微減少樣品的重量。這是因為輕質的活性炭可能會在有限的樣品體積中代替相對較重的細骨料或水泥。盡管重量減輕,但與普通水泥砂漿樣品相比,碳共混樣品顯示出更高的強度。

圖2:活性炭含量,抗壓強度和樣品重量之間的關系。
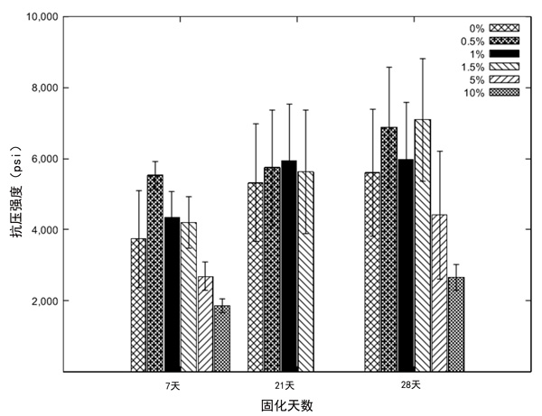
活性炭含量對抗壓強度的影響如圖3所示。結果表明,隨著活性炭摻入量增加到1.5%,水泥砂漿強度增加。添加0.5%的活性炭可將7天強度大幅提高48%,而添加1.5%的活性炭則可將28天強度提高27%。其他研究也報告了類似的結果,表明通過添加活性炭可以提高強度。將4%的活性炭摻入粉煤灰水泥中會使28天的抗壓強度提高18%。

圖3:活性炭含量對水泥砂漿抗壓強度的影響。
活性炭對普通水泥砂漿強度的影響。結果表明,添加小于或等于1.5%(按水泥重量計)的活性炭可提高水泥砂漿的抗壓強度。此外,活性炭還可以加速強度硬化過程,從而縮短固化時間。特別是,少量的含量(0.5%)在早期強度有更有意義的提高,而含量較高的(1.5%)在28天時強度有更好的提高。但是,大量的活性炭超過5%會大大降低強度。這項研究得出的結論是,活性炭可以用作潛在的水泥添加劑,以增強水泥砂漿的抗壓強度。
文章標簽:椰殼活性炭,果殼活性炭,煤質活性炭,木質活性炭,蜂窩活性炭,凈水活性炭.推薦資訊
- 2026-03-11活性炭在油氣回收中的作用
- 2026-03-06活性炭處理垃圾發電廠廢氣
- 2026-02-25活性炭吸附處理啤酒廠廢水
- 2026-02-13活性炭吸附處理含汞廢氣
- 2026-02-04活性炭用于從廢水中吸附去除微量鎘和鉛
- 2026-01-28活性炭潔牙粉專用
- 2026-01-20活性炭在廢氣處理中的一些常識
- 2026-01-13活性炭在精制糖生產中的脫色效果
- 2026-01-07活性炭對咪唑基離子液體的吸附性能
- 2025-12-24活性炭改性增強對乙酰氨基酚的吸附
- 2025-12-15活性炭吸附馬兜鈴酸
- 2025-11-27超細活性炭5000目粉末活性炭
